時間:2024-04-10 08:46:48 點擊數:
導讀
針對礦用罐道鋼絲繩張力及剛性系數現場測量難題,依據振動波周期法理論,研制了一種礦井罐道繩用張力測試設備。該設備利用電子技術,將固定點的加速度振動波形轉換成可視波形,根據其波形峰值差自動計算周期,有效降低了人工測試時間產生的系統誤差。在鄭煤集團多個礦井現場進行試驗,通過分析罐道繩張力測試結果,驗證了該張力測試設備的可靠性和可實施性。
罐道鋼絲繩作為礦井提升的重要部件,可防止提升容器非正常擺動或轉動,保障其平穩運行,但在柔性罐道繩約束下的提升容器容易產生橫向偏擺。罐道繩張力偏小、偏大或者不均,都會給礦井安全生產帶來嚴重隱患。《煤礦安全規程》第三百九十八條明確規定:“每個提升容器 (平衡錘)有 4 根罐道繩時,每根罐道繩的zui 小剛性系數不得小于 500 N/m,各罐道繩張緊力之差不得小于平均張緊力的 5%,內側張緊力大,外側張緊力小。每個提升容器 (平衡錘) 有 2 根罐道繩時,每根罐道繩的剛性系數不得小于 1 000 N/m,各罐道繩的張緊力應當相等”。目前,罐道繩張力的檢測與調整,已經成為煤礦提升技術管理工作中的一項重要內容。但罐道繩安裝后,缺少罐道繩張力檢測手段,無法準確測量、表征各罐道繩的張力,可能造成罐道繩張力偏大、偏小或不均勻等情況。如何測試罐道繩張力,為煤礦安全生產提供科學數據和技術支撐,是行業迫切需要解決的難題。
關于罐道繩張力測試,目前理論研究分為 3 種:豎向張緊法、橫向張拉法和振動波周期法。前兩者雖然理論簡單,但受現場環境和安全要求的制約,可實施性差,一直沒有推廣使用。第 3 種理論自研究以來,一直沒有實現從理論到產品的成熟應用轉化,沒有研制出成熟的測試設備,實際生產中鮮有應用。罐道繩長期在重載及濕潤的環境下運行,需要進行定期檢測與維護。本研究依據振動波周期法研制了一款礦井罐道繩張力測試設備,通過在鄭煤集團多個礦井現場試驗,驗證了設備的可靠性和可實施性。根據測試結果,可及時調整不滿足《煤礦安全規程》要求的罐道繩張力,為罐道繩的安全運行提供了科學數據,也為罐道繩張力的科學定量測試提供了一種新的途徑和思路。
1 基于振動波周期法的理論研究
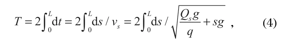
振動波周期法是依據振動波在鋼絲繩上的傳遞速度和鋼絲繩張力的關系,通過速度傳感器測量鋼絲繩振動波周期,得到傳遞速度,進而計算出鋼絲繩張力。
1.1 罐道繩拉力的測量
在井口附近位置,對罐道繩某一點施加一垂直沖擊力,使罐道繩產生橫向振動。振動波在鋼絲繩上的傳遞速度與鋼絲繩所受張力的關系如下:





